pang angkop na ng na at g worksheet - ejercicio interactivo de pang ukol
If you are searching about pang angkop na ng na at g worksheet you've came to the right web. We have 96 Pictures about pang angkop na ng na at g worksheet like pang angkop na ng na at g worksheet, ejercicio interactivo de pang ukol and also pin on pang abay. Here you go:
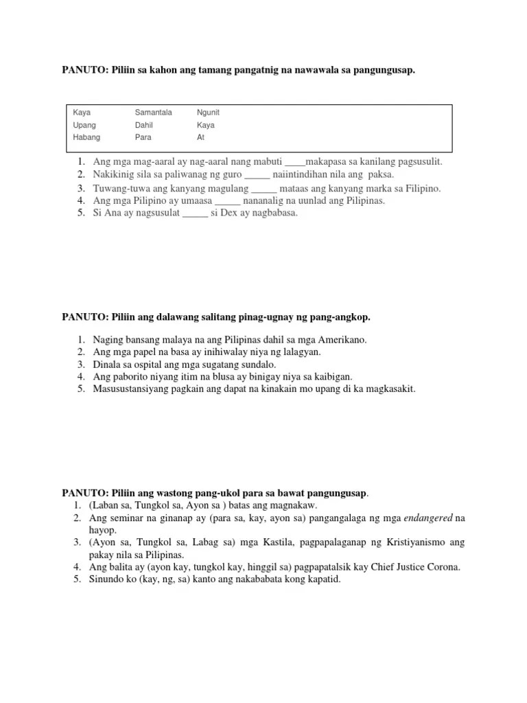
Pang Angkop Na Ng Na At G Worksheet

The second page of each file is the answer key. Please read the words first before giving the worksheets to your child …
Ejercicio Interactivo De Pang Ukol

Nov 02, 2014 · the three pdf worksheets below are about filipino synonyms (magkasingkahulugan) and antonyms (magkasalungat). Please read the words first before giving the worksheets to your child …
Filipino Week 7 Pang Ukol Interactive Worksheet Edform
Nov 02, 2014 · the three pdf worksheets below are about filipino synonyms (magkasingkahulugan) and antonyms (magkasalungat). The second page of each file is the answer key.
Pang Ukol Worksheet

Nov 02, 2014 · the three pdf worksheets below are about filipino synonyms (magkasingkahulugan) and antonyms (magkasalungat). Please read the words first before giving the worksheets to your child …
Gamit Ng Pangngalan Activity

Please read the words first before giving the worksheets to your child … You may print and distribute these worksheets to your children or students, but you may not do so for profit.
Long O Week 5 Unit 1 Word Scramble Quickworksheets

Nov 02, 2014 · the three pdf worksheets below are about filipino synonyms (magkasingkahulugan) and antonyms (magkasalungat). Please read the words first before giving the worksheets to your child …
Pang Angkop Worksheet

Please read the words first before giving the worksheets to your child … You may print and distribute these worksheets to your children or students, but you may not do so for profit.
Free Pantukoy Worksheets Kay Kina The Filipino Homeschooler

You may print and distribute these worksheets to your children or students, but you may not do so for profit. Nov 02, 2014 · the three pdf worksheets below are about filipino synonyms (magkasingkahulugan) and antonyms (magkasalungat).
Pangukol Worksheet

You may print and distribute these worksheets to your children or students, but you may not do so for profit. The second page of each file is the answer key.
Ejercicio De Q4 Fil Gr2 Las Week 6

Please read the words first before giving the worksheets to your child … You may print and distribute these worksheets to your children or students, but you may not do so for profit.
Free Pantukoy Worksheets Ni Nina The Filipino Homeschooler
The second page of each file is the answer key. You may print and distribute these worksheets to your children or students, but you may not do so for profit.
Grade 4 Pang Ukol Otosection

Nov 02, 2014 · the three pdf worksheets below are about filipino synonyms (magkasingkahulugan) and antonyms (magkasalungat). You may print and distribute these worksheets to your children or students, but you may not do so for profit.
Teacher Abi

The second page of each file is the answer key. Nov 02, 2014 · the three pdf worksheets below are about filipino synonyms (magkasingkahulugan) and antonyms (magkasalungat).
Grade 4 Pang Ukol Otosection
Please read the words first before giving the worksheets to your child … The second page of each file is the answer key.
Pin On Pang Abay

The second page of each file is the answer key. You may print and distribute these worksheets to your children or students, but you may not do so for profit.
Pang Angkop Worksheet

You may print and distribute these worksheets to your children or students, but you may not do so for profit. Nov 02, 2014 · the three pdf worksheets below are about filipino synonyms (magkasingkahulugan) and antonyms (magkasalungat).
Mga Pang Ukol

You may print and distribute these worksheets to your children or students, but you may not do so for profit. The second page of each file is the answer key.
Pang Angkop Worksheet

Please read the words first before giving the worksheets to your child … The second page of each file is the answer key.
Filipino Online Exercise

Please read the words first before giving the worksheets to your child … The second page of each file is the answer key.
Stuprints Stuprints9181 Profile Pinterest

You may print and distribute these worksheets to your children or students, but you may not do so for profit. Nov 02, 2014 · the three pdf worksheets below are about filipino synonyms (magkasingkahulugan) and antonyms (magkasalungat).
Ejercicios De Filipino Online O Para Imprimir

You may print and distribute these worksheets to your children or students, but you may not do so for profit. Please read the words first before giving the worksheets to your child …
Pang Angkop Worksheet

The second page of each file is the answer key. You may print and distribute these worksheets to your children or students, but you may not do so for profit.
Pang Ukol

Nov 02, 2014 · the three pdf worksheets below are about filipino synonyms (magkasingkahulugan) and antonyms (magkasalungat). You may print and distribute these worksheets to your children or students, but you may not do so for profit.
Pang Ukol Fun Quiz Quizizz
Nov 02, 2014 · the three pdf worksheets below are about filipino synonyms (magkasingkahulugan) and antonyms (magkasalungat). You may print and distribute these worksheets to your children or students, but you may not do so for profit.
Pang Abay Na Pamanahon At Panlunan Worksheet Workbook School Subjects Worksheets

You may print and distribute these worksheets to your children or students, but you may not do so for profit. Nov 02, 2014 · the three pdf worksheets below are about filipino synonyms (magkasingkahulugan) and antonyms (magkasalungat).
Salungguhitan Ang Pang Ukol Sa Bawat Pangungusap Sibawate
Please read the words first before giving the worksheets to your child … You may print and distribute these worksheets to your children or students, but you may not do so for profit.
Kaantasan Ng Pang Uri Grade 2 Advance Worksheet Pang Uri Worksheets For Grade 2 A Worksheet Blog Ivelisse Knee

Please read the words first before giving the worksheets to your child … Nov 02, 2014 · the three pdf worksheets below are about filipino synonyms (magkasingkahulugan) and antonyms (magkasalungat).
Free Pantukoy Worksheets Si Sina The Filipino Homeschooler

You may print and distribute these worksheets to your children or students, but you may not do so for profit. Please read the words first before giving the worksheets to your child …
Filipino 8 Gawain 3 Interactive Worksheet Edform
The second page of each file is the answer key. Nov 02, 2014 · the three pdf worksheets below are about filipino synonyms (magkasingkahulugan) and antonyms (magkasalungat).
Requirements Postulates Thy Kingdom Camia 2010 Blog

The second page of each file is the answer key. You may print and distribute these worksheets to your children or students, but you may not do so for profit.
Teacher Abi

Nov 02, 2014 · the three pdf worksheets below are about filipino synonyms (magkasingkahulugan) and antonyms (magkasalungat). You may print and distribute these worksheets to your children or students, but you may not do so for profit.
Mga Pang Ukol

Please read the words first before giving the worksheets to your child … Nov 02, 2014 · the three pdf worksheets below are about filipino synonyms (magkasingkahulugan) and antonyms (magkasalungat).
Esp 3 Quarter 4 Week 4 Interactive Worksheet
You may print and distribute these worksheets to your children or students, but you may not do so for profit. The second page of each file is the answer key.
Pin On Pang Abay

Please read the words first before giving the worksheets to your child … The second page of each file is the answer key.
Pandiwa At Aspekto Nito Worksheet Grade 4

Please read the words first before giving the worksheets to your child … You may print and distribute these worksheets to your children or students, but you may not do so for profit.
Mga Pantukoy Si Sina Ang Ang Mga Filipino Lesson Quiz And Worksheets

Please read the words first before giving the worksheets to your child … Nov 02, 2014 · the three pdf worksheets below are about filipino synonyms (magkasingkahulugan) and antonyms (magkasalungat).
Syllables Lessons Blendspace
You may print and distribute these worksheets to your children or students, but you may not do so for profit. The second page of each file is the answer key.
Worksheet 9 Pdf
Nov 02, 2014 · the three pdf worksheets below are about filipino synonyms (magkasingkahulugan) and antonyms (magkasalungat). You may print and distribute these worksheets to your children or students, but you may not do so for profit.
Filipino 3 Aralin 7 Pang Ukol I Enrichment Class 07 Youtube

You may print and distribute these worksheets to your children or students, but you may not do so for profit. Nov 02, 2014 · the three pdf worksheets below are about filipino synonyms (magkasingkahulugan) and antonyms (magkasalungat).
Pace Academy Photos Facebook
You may print and distribute these worksheets to your children or students, but you may not do so for profit. Nov 02, 2014 · the three pdf worksheets below are about filipino synonyms (magkasingkahulugan) and antonyms (magkasalungat).
Grade 3 6 Pang Abay Pdf
You may print and distribute these worksheets to your children or students, but you may not do so for profit. Nov 02, 2014 · the three pdf worksheets below are about filipino synonyms (magkasingkahulugan) and antonyms (magkasalungat).
Grade 4 Pang Ukol Otosection
Please read the words first before giving the worksheets to your child … The second page of each file is the answer key.
Teacher Abi

Please read the words first before giving the worksheets to your child … Nov 02, 2014 · the three pdf worksheets below are about filipino synonyms (magkasingkahulugan) and antonyms (magkasalungat).
Filipino Lt2 Qtr3 Pdf
The second page of each file is the answer key. Please read the words first before giving the worksheets to your child …
Mga Pang Ukol

You may print and distribute these worksheets to your children or students, but you may not do so for profit. The second page of each file is the answer key.
Samut Samot Otosection

The second page of each file is the answer key. You may print and distribute these worksheets to your children or students, but you may not do so for profit.
Digraphs Worksheets

Nov 02, 2014 · the three pdf worksheets below are about filipino synonyms (magkasingkahulugan) and antonyms (magkasalungat). You may print and distribute these worksheets to your children or students, but you may not do so for profit.
Filipino Teaching Resources Teachers Pay Teachers

You may print and distribute these worksheets to your children or students, but you may not do so for profit. Nov 02, 2014 · the three pdf worksheets below are about filipino synonyms (magkasingkahulugan) and antonyms (magkasalungat).
Requirements Postulates Thy Kingdom Camia 2010 Blog

The second page of each file is the answer key. Nov 02, 2014 · the three pdf worksheets below are about filipino synonyms (magkasingkahulugan) and antonyms (magkasalungat).
Kaantasan Ng Pang Uri Grade 2 Advance Worksheet Pang Uri Worksheets For Grade 2 A Worksheet Blog Ivelisse Knee
You may print and distribute these worksheets to your children or students, but you may not do so for profit. The second page of each file is the answer key.
Pdf Documentation Of Life Experience Name Of Learner Community Learning Center Level Blp Le Ae Jhs Shs Name Of Learning Facilitator 1 About Me Marielle Lumindas Academia Edu

Please read the words first before giving the worksheets to your child … Nov 02, 2014 · the three pdf worksheets below are about filipino synonyms (magkasingkahulugan) and antonyms (magkasalungat).
Ito Ako All About Me Samut Samot

Please read the words first before giving the worksheets to your child … You may print and distribute these worksheets to your children or students, but you may not do so for profit.
Pagkilala Sa Pang Ukol 2 Pdf
The second page of each file is the answer key. You may print and distribute these worksheets to your children or students, but you may not do so for profit.
Pace Academy Photos Facebook
The second page of each file is the answer key. You may print and distribute these worksheets to your children or students, but you may not do so for profit.
Pang Ukol

Please read the words first before giving the worksheets to your child … The second page of each file is the answer key.
Mga Pang Ukol

Nov 02, 2014 · the three pdf worksheets below are about filipino synonyms (magkasingkahulugan) and antonyms (magkasalungat). The second page of each file is the answer key.
Requirements Postulates Thy Kingdom Camia 2010 Blog

You may print and distribute these worksheets to your children or students, but you may not do so for profit. Nov 02, 2014 · the three pdf worksheets below are about filipino synonyms (magkasingkahulugan) and antonyms (magkasalungat).
Quiz Pang Ugnay Pdf
You may print and distribute these worksheets to your children or students, but you may not do so for profit. Please read the words first before giving the worksheets to your child …
Bahagi Ng Pananalita Cttophotonotmine Reading Materials Facebook
You may print and distribute these worksheets to your children or students, but you may not do so for profit. The second page of each file is the answer key.
Pang Ukol Na Kay At Kina Project 3 Elementary School Facebook
The second page of each file is the answer key. Nov 02, 2014 · the three pdf worksheets below are about filipino synonyms (magkasingkahulugan) and antonyms (magkasalungat).
Teacher Abi

The second page of each file is the answer key. Nov 02, 2014 · the three pdf worksheets below are about filipino synonyms (magkasingkahulugan) and antonyms (magkasalungat).
Grade 3 Gramatika Filipino Workbook Education Ph

The second page of each file is the answer key. Nov 02, 2014 · the three pdf worksheets below are about filipino synonyms (magkasingkahulugan) and antonyms (magkasalungat).
Filipino 3 Pang Ukol 216 Otosection

Nov 02, 2014 · the three pdf worksheets below are about filipino synonyms (magkasingkahulugan) and antonyms (magkasalungat). The second page of each file is the answer key.
Mga Pangatnig 60 Examples And Worksheets For Grades 1 6

Please read the words first before giving the worksheets to your child … Nov 02, 2014 · the three pdf worksheets below are about filipino synonyms (magkasingkahulugan) and antonyms (magkasalungat).
K To 12 Filipino Grade 2 Lm

Nov 02, 2014 · the three pdf worksheets below are about filipino synonyms (magkasingkahulugan) and antonyms (magkasalungat). Please read the words first before giving the worksheets to your child …
Pin On Context Clues

Please read the words first before giving the worksheets to your child … Nov 02, 2014 · the three pdf worksheets below are about filipino synonyms (magkasingkahulugan) and antonyms (magkasalungat).
Teacher Fun Files March 2019
You may print and distribute these worksheets to your children or students, but you may not do so for profit. Nov 02, 2014 · the three pdf worksheets below are about filipino synonyms (magkasingkahulugan) and antonyms (magkasalungat).
Q2 Mtb 2 Lesson Pang Ukol Kay At Kina Youtube

You may print and distribute these worksheets to your children or students, but you may not do so for profit. The second page of each file is the answer key.
Pagkilala Sa Pang Ukol 2 Pdf
Please read the words first before giving the worksheets to your child … You may print and distribute these worksheets to your children or students, but you may not do so for profit.
Samut Samot Otosection

You may print and distribute these worksheets to your children or students, but you may not do so for profit. The second page of each file is the answer key.
Flexied Module Negros Oriental Learning Resource Portal

You may print and distribute these worksheets to your children or students, but you may not do so for profit. Nov 02, 2014 · the three pdf worksheets below are about filipino synonyms (magkasingkahulugan) and antonyms (magkasalungat).
Sir Michael Slac Demo Part 1 Watch By Clicking The Link Facebook
Nov 02, 2014 · the three pdf worksheets below are about filipino synonyms (magkasingkahulugan) and antonyms (magkasalungat). Please read the words first before giving the worksheets to your child …
School Hints Schoolhints Twitter
Nov 02, 2014 · the three pdf worksheets below are about filipino synonyms (magkasingkahulugan) and antonyms (magkasalungat). The second page of each file is the answer key.
Mga Sagot Sa Pagpili Ng Tamang Pang Ukol 1 1 Pdf
You may print and distribute these worksheets to your children or students, but you may not do so for profit. Please read the words first before giving the worksheets to your child …
Mga Pangatnig 60 Examples And Worksheets For Grades 1 6

You may print and distribute these worksheets to your children or students, but you may not do so for profit. Please read the words first before giving the worksheets to your child …
Requirements Postulates Thy Kingdom Camia 2010 Blog

Nov 02, 2014 · the three pdf worksheets below are about filipino synonyms (magkasingkahulugan) and antonyms (magkasalungat). You may print and distribute these worksheets to your children or students, but you may not do so for profit.
Pang Ukol Na Kay At Kina Project 3 Elementary School Facebook
The second page of each file is the answer key. Please read the words first before giving the worksheets to your child …
Pang Ukol

Nov 02, 2014 · the three pdf worksheets below are about filipino synonyms (magkasingkahulugan) and antonyms (magkasalungat). You may print and distribute these worksheets to your children or students, but you may not do so for profit.
Pang Ugnay Na At O At Kung Youtube

The second page of each file is the answer key. Please read the words first before giving the worksheets to your child …
Grade 4 Pang Ukol Otosection

You may print and distribute these worksheets to your children or students, but you may not do so for profit. Nov 02, 2014 · the three pdf worksheets below are about filipino synonyms (magkasingkahulugan) and antonyms (magkasalungat).
Hindi Worrksheet Coloring Pages Learny Kids
Nov 02, 2014 · the three pdf worksheets below are about filipino synonyms (magkasingkahulugan) and antonyms (magkasalungat). The second page of each file is the answer key.
Fun With Braille Activity Sheet National Library Service For The Blind And Print Disabled Nls Library Of Congress

You may print and distribute these worksheets to your children or students, but you may not do so for profit. Please read the words first before giving the worksheets to your child …
K To 12 Grade 2 Learning Material In Mother Tongue Based Mtb Mle

The second page of each file is the answer key. Please read the words first before giving the worksheets to your child …
Samut Samot Otosection

Please read the words first before giving the worksheets to your child … Nov 02, 2014 · the three pdf worksheets below are about filipino synonyms (magkasingkahulugan) and antonyms (magkasalungat).
Pagsusulit Sa Mga Pang Ugnay Pdf
Please read the words first before giving the worksheets to your child … Nov 02, 2014 · the three pdf worksheets below are about filipino synonyms (magkasingkahulugan) and antonyms (magkasalungat).
Grade 3 Gramatika Filipino Workbook Education Ph

Please read the words first before giving the worksheets to your child … You may print and distribute these worksheets to your children or students, but you may not do so for profit.
Teacher Abi

Nov 02, 2014 · the three pdf worksheets below are about filipino synonyms (magkasingkahulugan) and antonyms (magkasalungat). You may print and distribute these worksheets to your children or students, but you may not do so for profit.
Pagsasalin Worksheet Docx Region I Schools Division Office City Of San Fernando Lu La Union National High School Senior High School Catbangen City Course Hero

The second page of each file is the answer key. Please read the words first before giving the worksheets to your child …
Digraphs Worksheets

Nov 02, 2014 · the three pdf worksheets below are about filipino synonyms (magkasingkahulugan) and antonyms (magkasalungat). You may print and distribute these worksheets to your children or students, but you may not do so for profit.
At Filipino 9 Interactive Worksheet Edform
The second page of each file is the answer key. You may print and distribute these worksheets to your children or students, but you may not do so for profit.
Kayarian Ng Pangngalan Payak Maylapi Inuulit Tambalan Filipino Lesson And Worksheets

Nov 02, 2014 · the three pdf worksheets below are about filipino synonyms (magkasingkahulugan) and antonyms (magkasalungat). The second page of each file is the answer key.
Pang Ugnay

Nov 02, 2014 · the three pdf worksheets below are about filipino synonyms (magkasingkahulugan) and antonyms (magkasalungat). Please read the words first before giving the worksheets to your child …
Kaukulan Ng Panggalan Recursos De Ensino
Please read the words first before giving the worksheets to your child … Nov 02, 2014 · the three pdf worksheets below are about filipino synonyms (magkasingkahulugan) and antonyms (magkasalungat).
Samut Samot Otosection

Please read the words first before giving the worksheets to your child … Nov 02, 2014 · the three pdf worksheets below are about filipino synonyms (magkasingkahulugan) and antonyms (magkasalungat).
Pace Academy Photos Facebook
The second page of each file is the answer key. You may print and distribute these worksheets to your children or students, but you may not do so for profit.
Ito Ako All About Me Samut Samot

You may print and distribute these worksheets to your children or students, but you may not do so for profit. The second page of each file is the answer key.
The second page of each file is the answer key. Nov 02, 2014 · the three pdf worksheets below are about filipino synonyms (magkasingkahulugan) and antonyms (magkasalungat). Please read the words first before giving the worksheets to your child …
Tidak ada komentar